2007-03-30 Ostatnia modyfikacja.
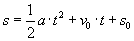
Mając dany wykres przyśpieszenia od czasu a(t), oblicz prędkość i drogę przebytą po: t1 = 3 s, t2 = 7 s. (v0 = 0, s0 = 0)

wykres a(t)
t1 = 3 s
t2 = 7 s
Wzór na prędkość:

2. Wzór na drogę:

v i s
po upływie t1 i
t2

Przedstawiony ruch na wykresie możemy podzielić
na 5 etapów - ze względu na przyśpieszenie w nich występujące:
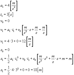
Etap 1: do 3 sekundy - a1 = 4
m/s2, czas trwania etapu t'1
= 3 s
Etap 2: od 3 do 4 sekundy - a2
= 1 m/s2, czas trwania etapu
t'2 = 1 s
Etap 3: od 4 do 6 sekundy -
a3 = -3 m/s2, czas trwania
etapu t'3 = 2 s
Etap 4: od 6 do 8
sekundy - a4 = 2 m/s2, czas
trwania etapu t'4 = 2
s
t1 = 3
s
t1 = 3 s jest ostatnią
sekuną pierwszego etapu. Tak więc jak narazie ruch odbywa się
tylko ruchem jednostajnie przyśpieszonym. Aby obliczyć
prędkość i drogę przebytą do trzeciej sekundy wystarczy
podstawić dane do wzorów:

t2 = 7
s
Siódma sekunda ruchu przypada na ostatni etap
ruchu. Niestety, nie możemy zastosować bezpośrednio wzoru na
prękość i drogę, ponieważ przyśpieszenie, które występuje w 5
etapie ruchu nie trwa od początku, a tylko od szóstej sekundy.
Tak więc aby obliczyć prędkość i drogę przebytą do siódmej
sekundy musimy przeanalizować każdy etap ruchu.
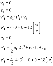
Etap
1:
Oznaczmy sobie przez v'1 prędkość
po pierwszym etapie, a przez s'1 drogę
przebytą. Etap pierwszy trwał t'1 =
3 s.

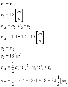
Etap
2:
Mamy już wyliczone v'1 i
s'1. Teraz zajemiemy się wyliczaniem
v'2 i s'2, przez
co analogicznie oznaczamy prędkość i drogę po 2 etapie, ale
uwzględniając pierwszy etap - czyli tym razem za
v0 przyjmiemy v'1,
a s0 = s'1. Przyśpieszenie na
tym etapie wynosi a2, a czas trwania
etapu t'2.

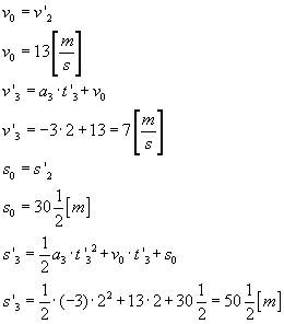
Etap
3:
Etap 3 jest sytuacją analogiczną do etapu drugiego. Tym
razem za prędkość początkową przyjmujemy prędkość po dwóch
pierwszych etapach (v0 =
v'2), a za drogę początkową przyjmujemy dorgę
przejechaną w trakcie dwóch pierwszych etapów
(s0 = s'2). Przyśpieszenie na
etapie trzecim wynosi a3, a czas trwania
etapu trzeciego t'3.

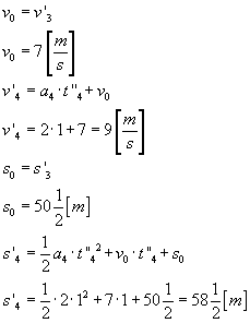
Etap
4:
Jako prędkość i drogę początkową ponownie przyjmiemy
wartość prędkości i drogi po pierwszych trzech etapach
(v0 = v'3, s0 =
s'3). Przyśpieszenie na etapie 4 wynosi
a4. Ten etap od poprzednich rózni się
jedynie czasem, który wykorzystam do obliczeń, ponieważ nie
będziemy brali całego czasu trwania ruchu z przyśpieszeniem
a4, a tylko jego część. Od początku
etapu do t2 upływa tylko jedna sekunda,
tak więc t''4 = 1 s.

Odpowiedź:
Po upływie
czasu t1 = 3 s prędkość wynosi v =
12 m / s, a droga przejechana s = 18 m
Po
upływie czasu t2 = 7 s prędkość wynosi
v = 9 m / s, a droga przejechana s = 58.5
m
Przyspieszenie, jak szybko zmienia się prędkość
Własności ruchu jednostajnie zmiennego
...