|
Przyszłość Wszechświata
Jednym z największych odkryć
XX w. było odkrycie, że Wszechświat
sie rozszerza. Zatem galaktyki,
unoszone poprzez pęczniejącą
przestrzeń, oddalają się od
siebie. Natomiast to, w jaki
sposób Wszechświat będzie
dalej sie rozszerzał oraz
czy proces ekspansji zostanie
kiedykolwiek wyhamowany, zależy
od ilości znajdującej się
w nim materii.
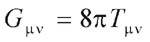
Ilość
materii we Wszechświecie wiąże
się z jego geometrią. Związek
pomiędzy materią a przestrzenią
został określony w 1916 roku
przez Alberta Einsteina w "Ogólnej Teorii Względności".
Zależność tą można przedstawić
za pomocą układu skomplikowanych
równań różniczkowych :

Lewa
strona powyższego równania
przedstawia obiekt matematyczny,
zbudowany wyłącznie z wielkości,
które opisują geometrię przestrzeni.
Obiekt matematyczny stojący
z prawej strony opisuje rodzaj,
ilość, ruch oraz rozłożenie
w przestrzeni materii. W celu
scharakteryzowania budowy
Wszechświata oraz określenia
jego przyszłości można wykorzystać
jeden z poniższych sposobów:
- wyznaczając
wszystkie formy materii
we Wszechświecie, zbudować
obiekt matematyczny opsiujący
materię, po czym ostatecznie
rozwiązując równania wyznaczyć
geometrię Wszechświata
- wyznaczyć
geometrię Wszechświata bezpośrednio
z obserwacji, a na tej podstawie
wyznaczyć ilość i rodzaj
materii znajdującej się
we Wszechświecie
Każdemu
z nas geometria kojarzy się
z systemem stworzonym jeszcze
w Starożytności przez Euklidesa.
Ponieważ na codzień posługujemy
się nią, mało kto zdaje sobię
sprawę z tego, że mogą istnieć
inne geometrie o całkeim odmiennych
własnościach metrycznych.
Przykładami dwuwymiarowych
przestrzeni, w których własności
metryczne są inne niż w geometrii
euklidesowej są:
- powierzchnia
sfery - zakrzywiona dodatnio,
suma kątów w trójkącie rozpiętym
na takiej powierzchni jest
większa od 180 ° (rys. 2)
- powierzchnia
tzw. "małpiego siodła" - zakrzywiona ujemnie, trójkąt
rozpięty na takiej powierzchni
będzie posiadał sumę kątów
mniejszą od 180 ° (rys.
3)
|
|
|
|
|
|
|
|
|
|
Rys.
1 Płaszczyzna płaska |
Rys.
2 Powierzchnia sfery |
Rys.
3 Powierzchnia "siodła" |
|
|
|
Badana
powierzchnia staje się zakrzywiona
dopiero w momencie, gdy jej
rozmiar jest porównywalny
z promieniem krzywizny. Podobnie
było z powierzchnią Ziemi,
która przez długie lata kojarzyła
się ludziom jako płaska, ponieważ
poruszali się oni w obszarach
małych w porównaniu do promienia
Ziemi. Analogicznie sytuacja
wygląda z trójwymiarową przestrzenią
- przebywamy w obszarach stosunkowo
małych w porównaniu do promienia
krzywizny całego Wszechświata,
w związku z czym nasze przekonanie
o tym, że Wszechświat nie
jest zakrzywiony może być
mylne. Aby wykryć zatem krzywiznę
Wszechświata niezbędne jest
badanie bardzo dużych obszarów.
Dynamika
Wszechświata, czyli to w jaki
sposób będzie się on rozszerzał,
związana jest zarówno z geometrią,
jak i ilością materii we Wszechświeci
(rys. 4). Możemy wyróżnić
trzy możliwe przypadki przyszłych
losów Wszechświata:
- Wszechświat
się rozszerza, a następnie
kurczy - odległość między
wybranymi galaktykami rośnie
do pewnej maksymalnej wartości,
po czym zaczyna maleć aż
do zera - jest to przypadek,
kiedy materii we Wszechświecie
jest na tyle dużo, aby jej
samograwitacja mogła wyhamować
ekspansję i spowodować proces
odwrotny - kurczenie się
Wszechświata. Geometria
Wszechświata jest sferyczna,
Wszechświat jest zamknięty,
ma skończoną objętość, ilość
materii jest również skończona
- Wszechświat
rozszerza się do nieskończoności
- odległość między wybranymi
galaktykami rośnie do nieskończoności
- przypadek, w którym Wszechświat
wypełnia mała ilość materii,
której samograwitacja jest
zbyt słaba by zahamować
proces rozszerzania się.
Geometria Wszechświata odpowiada
ujemnej krzywiźnie, jego
objętość oraz ilość materii
znajdującej się w nim jest
nieskończona
- Wszechświat
rozszerza się nieustannie,
ale prędkość rozszerzania
będzie malała do zera w
nieskończonej skali czasowej
- przypadek, w którym średnia
gęstość materii we Wszechświecie
jest ściśle określona, wynosi
ok. 10-29g/cm³
jego objętość oraz ilość
materii znajdującej się
w nim jest nieskończona
|
|
|
Rys.
4 Trzy możliwe losy
Wszechświata zależne od geometrii
przestrzeni |
|
W
1996 roku został zrealizowany
projekt mający na celu określenie
ilości materii we Wszechświecie.
Polegał on na wykorzystaniu
kosmicznego teleskopu Hubble'a
do obserwacji odegłych galaktyk.
Został wycelowany na kilkanście
dni w niewielki fragment nieba,
w okolicy którego nie znajdowały
się żadne świecące obiekty (rys.
5). |
|
|
|
|
Rys.
5 Teleskop Hubble'a
wycelowany w ciemne pole na
niebie ©NASA |
Rys.
6 Obrazy powstałe w
wyniku obserwacji nieba przez
teleskop Hubble'a ©NASA |
|
Teleskop
zarejestrował wiele odległych
galaktyk (rys. 6). Na tej podstawie
wydawać by się mogło, że jest
bardzo dużo materii we Wszechświecie.
Jednak okazało się, że materia
świecąca stanowi zaledwie 0,005
materii potrzebnej do tego,
aby Wszechświat był płaski.
W ostatnich kilkunastu latach
dowiedzono, że pozostałą, a
zarazem ogromną większość materii,
stanowi tzw. ciemna
materia. Nazywana jest
ciemną ze względu na to, że
przy obecnych metodach rejestracji
światła nie jesteśmy w stanie
jej wykryć. Jednak potrafimy
zauważyć jej obecność poprzez
wywierany wpływ na inne ciała
świecące.
W
dniu dzisiejszym wszystkie badania
wskazują na to, że Wszechświat
jest nieskończony i płaski.
Powstał ok. 14 mld lat temu
w wyniku Wielkiego Wybuchu.
Jednak obszar, z którego światło
zdążyło dotrzeć w ciagu tego
czasu do nas, niezależnie od
geometrii Wszechświata, jest
skończony (rys. 7). Tłumaczy
to paradoks Olbersa - Jeśłi
Wszechświat jest nieskończony,
upakowany równomiernie gwiazdami,
to spoglądając na niebo natrafimy
na świecący obiekt, bez względu
na to, w którym kierunku patrzymy.
Zatem całe niebo powinno świecić
jak powierzchnia Słońca, w nocy
nie ma prawa być ciemno. |
|
|
|
Rys.
7 Wyjaśnienie paradoksu
Olbers'a. |
|
Obszar,
w który światło zdążyło dotrzeć
do obserwatora, zwany kosmicznym
horyzontem, jest skończony.
Wyniki obserwacji wskazują na
to, że poza tym obszarem może
się znajdować nieskończona przestrzeń. |
|
|
2006 iwiedza |
|