Podstawowy wzór teorii
kinetycznej gazu doskonałego
Powiązanie wartości ciśnienia gazu
z prędkościami cząstek nie przedstawia
problemu. W podręcznikach spotyka się
"sześcienną" i "kulistą" wersja wyprowadzenia.
Przedstawimy je obie.
Wyprowadzenie - wersja A. Gaz w sześciennym
pudełku

Rozważmy gaz - zespół cząsteczek chaotycznie
poruszających się w pudle - sześcianie
o krawędzi l. Podczas sprężystych
zderzeń zderzeń z wybrana - powiedzmy
"dolną poziomą" - ścianką zmienia się
na przeciwną składowa prędkości prostopadła
do ścianki, dwie pozostałe składowe
- lezące w płaszczyźnie ścianki - nie
ulegają zmianie.
Wektory pędu i cząsteczki przed i po
zderzeniu możemy zapisać:
pprzed
= ( mvx , mvy ,
mvz )
ppo =
( mvx , mvy ,
- mvz)
co ilustruje poniższy rysunek.

Zmiana pędu dana jest przez:
Δp
= ppo - pprzed
= (0, 0, - 2mvz)
a więc ma tylko jedna składową i jej
wartość równa jest
Δp
= -2mvz
Druga zasada dynamiki daje natychmiast
wartość siły działającej na cząstkę:
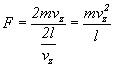
F =(Δp/Δt)
= -2mvz / Δt
Znak oznacza tu, że siła działająca
na cząsteczkę skierowana jest "od ścianki".
Trzecia zasada dynamiki pozwala zauważyć,
że siła, z jaka cząsteczka działa na
ściankę równa jest:
F = 2mvz /Δt
Jaką wartość czasu przyjąć? Gdybyśmy
byli zainteresowani wartością chwilowych
sił działających w momencie oddziaływania
- za Δt przyjęlibyśmy czas zderzenia.
Interesuje nas jednak uśredniona w czasie
siła, z jaką cząsteczka działa
na ściankę. Jak często powtarzają się
takie zderzenia? Co jaki okres czasu
maja one miejsce? Czas między zderzeniami
to czas potrzebny do przebycie przez
cząsteczkę drogi "tam i z powrotem"
pomiędzy ściankami naczynia: Δt
= 2l/vz , i takiej
wartości czasu użyjemy obliczając średnia
wartość siły.

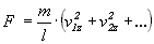
Tyle od jednej cząsteczki. Sumując
wkład od wszystkich cząsteczek otrzymamy

W nawiasie sumujemy tu kwadraty z-owej
składowej wszystkich cząsteczek. Prawą
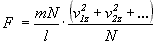
stronę podzielimy i pomnożymy przez
liczbę cząsteczek N

Łatwo widać, że drugi ułamek jest po
prostu średnią kwadtatu z-owej składowej
prędkości w całym zespole

Wzór na siłę przybiera postać:

Ciśnienie z kolei jest stosunkiem siły
działającej na powierzchnię ( w naszym
przypadku ściankę) do pola tej powierzchni
(u nas kwadratowa ściana sześcianu ma
pole S = l2)
p = F / S = Nm{vz2}
/ l3 = M/V {vz2}=
r {vz2} .
Pozostaje uwolnić się od wybranego
do rozważań kierunku z. Dla każdej cząsteczki
mamy v2
= vx2 + vy2
+ vz2,
co dla średniej w zespole daje
{v2} = {vx2}
+ {vy2} + {vz2}
A ponieważ żaden kierunek nie jest
wyróżniony i średnie prędkości we wszystkich
kierunkach są równe więc {vx2} = {vy2} = {vz2}
. Możemy napisać:
{v2} = {vz2}
+ {vz2} + {vz2}
= 3{vz2}
czyli
{vz2}
= 1/3 {v2}
Wzór na ciśnienie da się więc - co
należało pokazać - zapisać:
p = 1/3 r
{v2}
Wyprowadzenie - wersja B. Gaz w kulistym
naczyniu

Rozważmy gaz doskonały zamknięty w
naczyniu o kształcie kuli o promieniu
R. Cząsteczka gazu uderzając o ścianę
naczynia zmienia swój pęd, a konkretnie
- zmienia zwrot radialnej składowej
pędu (skierowanej wzdłuż promienia).
Jej wartość przez zderzeniem równa jest
pr = mvcosα, a zmiana pędu w trakcie zderzenia
wynosi Δp
= -2mvcosα. Czas, w którym (średnio) dokonuje się taka
zmiana pędu to czas potrzebny na przebycie
drogi pomiędzy kolejnymi miejscami zderzeń.
Na rysunku widać, że droga ta jest równa
s = 2Rcosα, a co za tym idzie
czas Δt
= 2Rcosα/v.
Druga zasada dynamiki daje wartość
siły:
F = Δp/Δt
= mv2/R.
Na marginesie - ciekawe,
że jest to wartość siły dośrodkowej
dla cząsteczki poruszającej się z prędkością
v po wielkim
kole naszego naczynia.
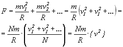
Suma sił pochodzących od wszystkich
N cząsteczek dana jest wiec przez sumę
po wszystkich cząsteczkach:

gdzie {v2} jest średnią
wartością kwadratu prędkości cząsteczek
w zespole
{v2} =
(v12 + v22
+ v32 + ... )
/ N
Siłę można więc zapisać w postaci
F = M {v2} /
R
gdzie M = Nm
oznacza masę całego gazu. Aby otrzymać
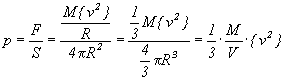
ciśnienie dzielimy wartość siły przez
powierzchnię naczynie S = 4pR2

czyli ostatecznie
p = 1/3 r
{v2} |