Fizycy rozwiązali tajemnicę lewitacji

Grupa uczonych z Uniwersytetu St. Andrews wywołała efekt lewitacji, korzystając z siły natury, która zwykle sprawia, że przedmioty do siebie przylegają. Profesor Ulf Leonhardt i dr Thomas Philbin, z Universytetu St Andrews w Szkocji, opracowali sposób na odwrócenie fenomenu zwanego jako efekt Casimira, sprawiając, że prowadzi on do odpychania zamiast przyciągania. Ich odkrycie może ostatecznie doprowadzić do zbudowania mikrourządzeń, w których nie występuje tarcie, ponieważ ich elementy lewitują. Sami naukowcy uważają, że można zmusić do lewitacji także obiekty makroskopowe, nawet człowieka. Efekt Casimira jest jednym z fenomenów mechaniki kwantowej, i występuje wskutek różnicy ciśnień... próżni. Przy użyciu specjalnej soczewki, której konstrukcję opracowano już wcześniej, naukowcy mogli tak wpłynąć na efekt Casimira, by powodował on odpychanie zamiast przyciągania. Siła Casimira sprawia wiele kłopotu nanotechnologom, a zespół z St Andrews uważa, że uzyskane przez nich rezultaty mogłyby służyć powstrzymaniu mikroskopijnych obiektów od sklejania się. Konstrukcja odpowiedniej soczewki byłaby trudna, lecz możliwa i lewitacja mogłaby zachodzić w dużo większej skali.

Źródło Telegraph.

[http://www.telegraph.co.uk/news/main.jhtml?xml=/news/2007/08/06/nlevitate106.xml]

Efekt Casimira (za Wikipedia) to zjawisko fizyczne przyciągania pomiędzy dwiema pozbawionymi ładunku elektrycznego płytami wykonanymi z przewodnika spowodowane różnicą ciśnienia oddziałujących na nie cząstek wirtualnych. Pierwszy raz wystąpienie tego efektu w roku 1948 przewidział holenderski fizyk Hendrik B. G. Casimir pracujący w laboratoriach Philipsa.

Efekt Casimira występujący pomiędzy dwoma nienaładowanymi płytami z przewodnika umieszczonymi w próżni pełnej wirtualnych cząstek. Wirtualne cząstki wypełniające próżnię przedstawione są różnymi kolorami, co ma reprezentować różne długości stowarzyszonych z nimi fal.

Próżnia wypełniona jest ogromną ilością cząstek, które pojawiają się i natychmiast znikają dzięki fluktuacjom kwantowym. Wirtualne cząstki wypełniające próżnię przedstawione są różnymi kolorami, co ma reprezentować różne długości stowarzyszonych z nimi fal.

Jeżeli teraz umieści się w niewielkiej odległości d dwie płyty wykonane z przewodnika, to będą one pełniły rolę luster rezonatora. Na zewnątrz będą pojawiały się wirtualne cząstki stowarzyszone z falami o wielu różnych długościach.

Pomiędzy płytami również będą powstawać wirtualne cząstki. Niektóre z nich będą miały długość stowarzyszonej fali lambda równą d lub d/2, d/3 itd., czyli długości kolejnych fal harmonicznych. Podobnie jak w strunie gitarowej fale o takich długościach zostaną wzmocnione (rezonans). Fale o innych długościach będą bardzo silnie tłumione. Na rysunku tłumienie dotyczy cząstek niebieskich i zielonych. Różowe i czerwone mogą swobodnie pojawiać się i znikać pomiędzy płytami z przewodnika.

Wirtualne cząstki podobnie jak cząstki gazu wywierają na wszystkie zanurzone w nich ciała pewne ciśnienie. Ciśnienie wywierane przez "czterokolorową" mieszaninę cząstek będzie większe, bo od jednostkowej powierzchni płyty odbija się ich więcej, niż dla "dwukolorowej" mieszaniny.

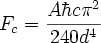
Różnica ciśnień zaowocuje powstaniem siły Casimira Fc. Po przełożeniu opisu zjawiska na odpowiednie równania mechaniki kwantowej otrzymuje się zależność:

gdzie:

A - powierzchnia płyt,
- h kreślone,
c
- prędkość światła,
pi - liczba Pi,
d - odległość pomiędzy płytami w metrach.

Wzór ten jest prawdziwy tylko dla płyt wykonanych z idealnie gładkiego przewodnika, który pracuje jak lustro odbijające fale o wszystkich długościach bez strat. Dodatkowym warunkiem jest ochłodzenie płyt do temperatury zera absolutnego.

Efekt Casimira jest obserwowalny dopiero wtedy, kiedy odległość między płytami jest mniejsza od milionowej części metra (1 mikrometr). Nawet w takiej sytuacji siła pomiędzy płytami o powierzchni metra kwadratowego jest rzędu dziesięciomilionowej części niutona (10-7N). Efekt Casimira jest wyraźnie obserwowalny w mikroskali.

Pierwsze próby pomiaru siły przyciągania wywołanej efektem Casimira wykonał w roku 1958 Marcus Spaarnay w Laboratorium Philipsa w Eindhoven. Ówczesna technologia nie była w stanie potwierdzić istnienia tak nikłego oddziaływania. Dopiero w roku 1997 Steve Lamoreaux pracujący na Uniwersytecie Waszyngtońskim (ang. University of Washington) w Seattle zdołał dokonać pomiarów potwierdzających teorię z błędem rzędu 5%.

Rozwój technologii MEMS spowodował wkroczenie stosowanej techniki w obszar działania efektu Casimira. Siły pojawiające się na skutek oddziaływania próżni stają się wyraźne dla obiektów mających rozmiary rzędu mikrometrów. Pracujący na Uniwersytecie Kalifornijskim w Riverside (ang. University of California at Riverside) Umar Mohideen wraz z zespołem naukowców w roku 2002 wykonał kolejne doświadczenie potwierdzające efekt Casimira z błędem 1%.