2006-11-17 Ostatnia modyfikacja.
Do dwóch szeregowo połączonych kondensatorów o pojemnościach C1 = 100pF i C2 = 200pF przyłożono stałe napięcie U = 300V. Oblicz napięcia U1 i U2 na kondensatorach i ładunki q1 i q2 na ich okładkach. Jaka jest pojemność C tego układu?
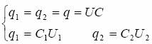
Ładunki na okładkach obu kondensatorów połączonych szeregowo spełniają relację:

gdzie C - pojemność zastępcza

a q - ładunek wypadkowy. Z tych trzech równań otrzymujemy:
