Zadanie konkursowe.
Według teorii Bohra atom wodoru składa się z dodatnio naładowanego jądra (protonu) i krążącego wokół niego elektronu. Elektron taki w stanie podstawowym ma energię równą -13,6 eV.
Oblicz, jaką częstotliwość ma fala emitowana przez inny atom przy przejściu elektronu z orbity czwartej na trzecią. Wiedząc, że fala świetlna to fala elektromagnetyczna rozchodząca
się z prędkością światła
,
a stała Placka wynosi
.
Tj=?
Aby obliczyć kwant energii światła należy skorzystać ze wzoru:
![]()
gdzie:
h - stała Plancka
![]()
-
częstotliwość fali,
Energia ta będzie równa różnicy energii jakie posiada elektron na poszczególnych orbitach
![]()
gdzie:
-
energia elektronu na dalszej powłoce (dalej od jądra atomowego)
-
energia elektronu na bliższej powłoce (bliżej jądra atomowego)
Schematyczny rysunek:

(1.1)
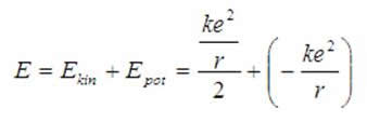
Energia elektronu to energia kinetyczna + energia potencjalna:
![]()
![]()

Ponieważ
i
po wstawieniu k do licznika stąd:

Wartość q dotyczy elektronu a wiec ładunku elementarnego e. Związku z tym, że założenia dotyczą elektronu, który ma ładunek ujemny, wartość członu określającego energię potencjalną będzie zawierał znak minus.
(1.2)
z kolej po porównaniu F dośrodkowej krążącego elektronu z jego siłą elektrostatyczną:
![]()

po podzieleniu obu stron przez r

(1.3)
Wartości (1.3) do (1.2), otrzymujemy:

Po zmianie znaków:

Otrzymujemy:

Z pierwszego warunku Bohra:
,,Moment pędu elektronu musi być równy wielokrotności
stałej Plancka przez
".
Co można zapisać:

Po przekształceniu

Po porównaniu siły dośrodkowej działającej na elektron i siły elektrostatycznej

![]()

Po podstawieniu za v równania 1.5, otrzymujemy:

Po pomnożeniu na krzyż:


Łatwo zauważyć, że n to numer powłoki, jeżeli podstawilibyśmy liczbę 1, to uzyskalibyśmy wartość promienia atomu wodoru (ponieważ ma jedną orbitę- jeden krążący elektron wokół jądra).
Stąd wartość promienia atomu wodoru:

Podstawiając do wzoru (1.6) wartość:

jako
uzyskujemy:
(1.7)
Podstawiając wzór (1.7) do wzoru (1.4)

Ponownie łatwo zauważyć, że podstawiając ża n=1 uzyskamy tym razem wartość energii dla pierwszej orbity, stan podstawowy atomu wodoru, wiec można wyrażenie:
zastąpić symbolem
jako energia stanu podstawowego:
(1.8)
Po żmudnych, ale niezbędnych obliczeniach dotarliśmy do upragnionej wartości na energię elektronu na różnych orbitach, jednak to nie koniec naszej przygody z przekształceniami wzorów....
Wracając do naszego wzoru (1.1):
![]()
za
i za
![]()
podstawiamy wyrażenie (1.8) odpowiednio zmieniając oznaczenia energii dla poszczególnych orbit:

po wyciągnięciu E1 przed nawias i uporządkowaniu wyrazów:

Po podzieleniu przez h:
(1.9)
Ponieważ ![]()
Po przekształceniu na
:
(1.10)
Po podstawieniu wzoru (1.10) do wzoru (1.9)

po podzieleniu przez c:


Warto wiedzieć, że wartość
to
stała Rydberga

Po zastąpieniu tego członu stałą Rydberga uzyskujemy upragniony wzór Balmera:

Stąd możemy obliczyć długość fali
Dane:
n = 4,
k = 3




![]()
Korzystając znowu ze wzoru (1.10)

Wyliczamy częstotliwość

Częstotliwość fali światła pochodzącej z emisji atomu przy przejściu elektronu
z orbity czwartej na trzecią wynosi
.
...